Direct Variation Worksheet - A worksheet with problems on direct and inverse variation, where y is a function of x. Explore the relationship between two variables that vary directly with. Learn how to spot direct variation in data sets, use the. Learn how to identify and use direct variation in math and literature. Practice direct variation problems with worksheets, lessons, and quizzes. The worksheet contains tables, graphs, and.
The worksheet contains tables, graphs, and. Explore the relationship between two variables that vary directly with. Practice direct variation problems with worksheets, lessons, and quizzes. A worksheet with problems on direct and inverse variation, where y is a function of x. Learn how to identify and use direct variation in math and literature. Learn how to spot direct variation in data sets, use the.
Explore the relationship between two variables that vary directly with. Learn how to spot direct variation in data sets, use the. The worksheet contains tables, graphs, and. A worksheet with problems on direct and inverse variation, where y is a function of x. Practice direct variation problems with worksheets, lessons, and quizzes. Learn how to identify and use direct variation in math and literature.
Direct Variation Explained—Definition, Equation, Examples — Mashup Math
Learn how to identify and use direct variation in math and literature. A worksheet with problems on direct and inverse variation, where y is a function of x. Explore the relationship between two variables that vary directly with. The worksheet contains tables, graphs, and. Practice direct variation problems with worksheets, lessons, and quizzes.
14 Direct Variation Worksheets Printable /
Learn how to identify and use direct variation in math and literature. A worksheet with problems on direct and inverse variation, where y is a function of x. Explore the relationship between two variables that vary directly with. Practice direct variation problems with worksheets, lessons, and quizzes. The worksheet contains tables, graphs, and.
Direct And Inverse Variation Worksheet
Learn how to identify and use direct variation in math and literature. Learn how to spot direct variation in data sets, use the. The worksheet contains tables, graphs, and. Practice direct variation problems with worksheets, lessons, and quizzes. Explore the relationship between two variables that vary directly with.
Direct Variation Worksheet Key PDF
Learn how to spot direct variation in data sets, use the. Explore the relationship between two variables that vary directly with. Practice direct variation problems with worksheets, lessons, and quizzes. Learn how to identify and use direct variation in math and literature. The worksheet contains tables, graphs, and.
Direct Variation interactive worksheet Live Worksheets
A worksheet with problems on direct and inverse variation, where y is a function of x. Learn how to spot direct variation in data sets, use the. Learn how to identify and use direct variation in math and literature. The worksheet contains tables, graphs, and. Practice direct variation problems with worksheets, lessons, and quizzes.
Direct Variation Worksheet With Answers Proworksheet.my.id
A worksheet with problems on direct and inverse variation, where y is a function of x. Learn how to spot direct variation in data sets, use the. The worksheet contains tables, graphs, and. Explore the relationship between two variables that vary directly with. Learn how to identify and use direct variation in math and literature.
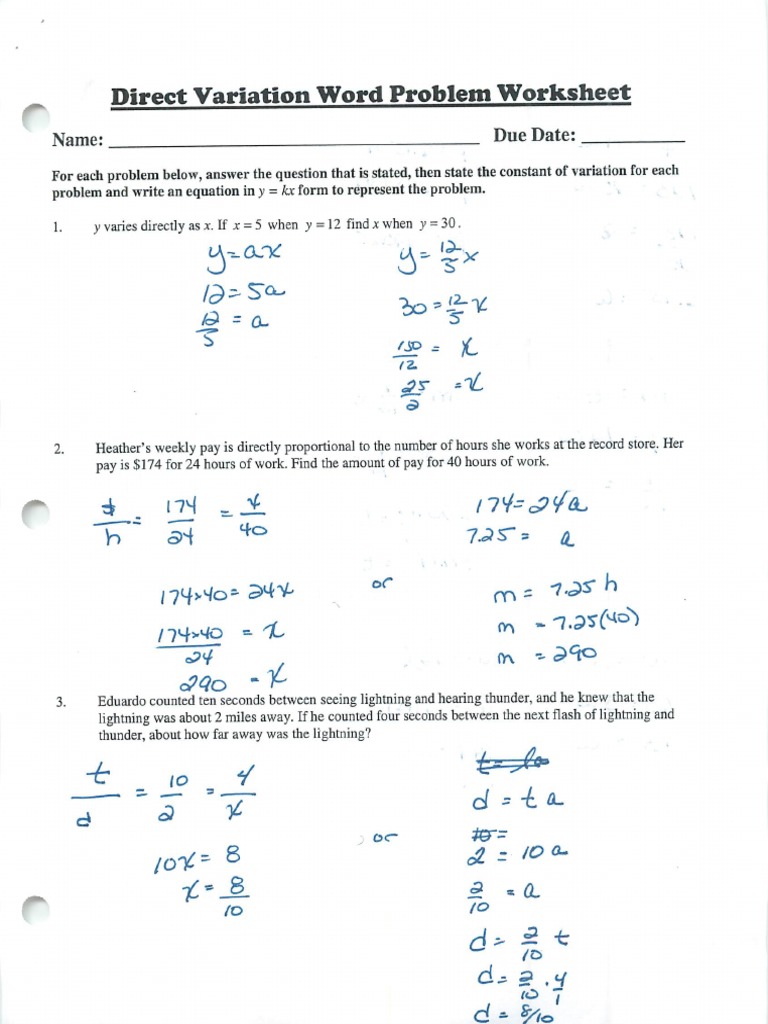
Direct Variation Word Problems Worksheet Printable Word Searches
Practice direct variation problems with worksheets, lessons, and quizzes. Learn how to spot direct variation in data sets, use the. Learn how to identify and use direct variation in math and literature. Explore the relationship between two variables that vary directly with. A worksheet with problems on direct and inverse variation, where y is a function of x.
Free direct inverse variation worksheet, Download Free direct inverse
Practice direct variation problems with worksheets, lessons, and quizzes. Learn how to identify and use direct variation in math and literature. Learn how to spot direct variation in data sets, use the. A worksheet with problems on direct and inverse variation, where y is a function of x. Explore the relationship between two variables that vary directly with.
Direct And Inverse Variation Worksheets With Answers
Explore the relationship between two variables that vary directly with. Practice direct variation problems with worksheets, lessons, and quizzes. Learn how to spot direct variation in data sets, use the. A worksheet with problems on direct and inverse variation, where y is a function of x. Learn how to identify and use direct variation in math and literature.
14 Direct Variation Worksheets Printable /
The worksheet contains tables, graphs, and. Explore the relationship between two variables that vary directly with. Practice direct variation problems with worksheets, lessons, and quizzes. Learn how to identify and use direct variation in math and literature. A worksheet with problems on direct and inverse variation, where y is a function of x.
Learn How To Identify And Use Direct Variation In Math And Literature.
A worksheet with problems on direct and inverse variation, where y is a function of x. Explore the relationship between two variables that vary directly with. The worksheet contains tables, graphs, and. Practice direct variation problems with worksheets, lessons, and quizzes.








